新闻资讯News Center
您的位置:首页 - 新闻资讯 - 安全公告

关于注射用氢溴酸高乌甲素修订说明书的公告

发布时间:2022-09-23 09:28阅读次数: 分享到:


依据国家药监局关于修订氢溴酸高乌甲素注射剂说明书的公告(2022年第35),我公司对注射用氢溴酸高乌甲素说明书【不良反应】、【禁忌】、【注意事项】、【孕妇及哺乳期妇女用药】、【儿童用药】、【老年用药】项进行修订,请经营单位、使用单位知悉,更新后说明书全文如下。

                                                                                                                                        

核准日期:20070601

修订日期:20130315

20180123

20220511

注射用氢溴酸高乌甲素说明书

请仔细阅读说明书并在医师指导下使用

【药品名称】

通用名称:注射用氢溴酸高乌甲素

商品名称:优一欣

英文名称:Lappaconitine Hydrobromide for Injection

汉语拼音:Zhusheyong Qingxiusuan Gaowujiasu

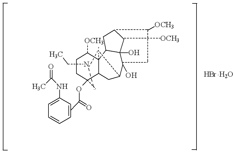
【成份】本品主要成份为氢溴酸高乌甲素。

化学名称为4,8,9-三羟基-1α,14α,16β-三甲氧基-20-乙基-乌头烷-4-基)-2-(乙酰氨基)苯甲酸酯氢溴酸盐水合物。

化学结构式:

分子式:C32H44N2O8·HBr·H2O

分子量:683.64

辅料:甘露醇。

【性状】本品为白色或类白色疏松块状物或粉末

【适应症】用于中度以上疼痛的镇痛治疗。

【规格】(1)4mg 2)8mg

【用法用量】肌内注射:一次4mg,一日1~2次,或遵医嘱。

静脉滴注:一日4~8mg,溶于葡萄糖氯化钠注射液500ml中静滴。

【不良反应】上市后监测中发现本品报告有以下不良反应(发生率未知):

免疫系统:过敏反应、过敏性休克。

心血管系统:心悸、心律失常、心动过速、血压升高、血压降低、潮红、静脉炎、发绀。

全身性反应:寒战、畏寒、发热(高热)、胸部不适、疼痛、乏力、水肿。

呼吸系统:呼吸困难、呼吸急促、咳嗽。

皮肤及皮下组织:瘙痒、皮疹、荨麻疹、红斑、皮肤肿胀、多汗。

胃肠系统:恶心、呕吐、口干、反酸、腹痛、腹部不适、腹胀、腹泻。

神经系统和精神类反应:头晕、头痛、感觉减退、震颤、抽动、烦躁不安。

肝胆系统:肝功能异常、肝酶升高。

其他:视觉损害、注射部位疼痛、注射部位瘙痒、注射部位肿胀、眩晕、肢体疼痛、排尿困难。

【禁忌】对本品中任何成份过敏者禁用。

【注意事项】1.本品中毒的早期表现是心电图的变化(可逆性)。本品动物实验显示2mg/ml对新西兰家兔具有轻度肌肉刺激性,临床应用肌内注射时请注意采取防护措施。

2.过敏体质者、严重肝功能异常者慎用。

3.上市后监测到本品有过敏性休克的严重不良反应病例报告,建议在有抢救条件的医疗机构使用,用药前应仔细询问患者用药史和过敏史,用药过程中注意观察,一旦出现过敏反应或其他严重不良反应须立即停药并及时救治。

【孕妇及哺乳期妇女用药】尚缺乏本品孕妇及哺乳期妇女用药的安全性研究资料

【儿童用药】本品用于儿童的安全、有效性尚未建立。

【老年用药】尚缺乏老年患者用药的资料。

【药物相互作用】尚不明确

【药物过量】尚不明确

【药理毒理】

药理作用

本品为非成瘾性镇痛药,具有较强的镇痛作用。本品还具有局部麻醉、降温、解热和抗炎消肿作用。本品与哌替啶相比,镇压痛效果相当,起效时间稍慢,而维持时间较长;镇痛作用为解热镇痛药氨基比林的7倍。

毒理研究

本品无成瘾性,动物试验无致畸胎作用,亦不会发生蓄积中毒。急性毒性试验结果:大鼠经口LD50为20mg/Kg;小鼠腹腔注射LD50为9.1mg/Kg,静脉注射LD50为6.9mg/Kg。

【药代动力学】尚不明确

【贮藏】遮光、密闭保存。

【包装】低硼硅玻璃管制注射剂瓶、氯化丁基橡胶塞,每5支

【有效期】24个月

【执行标准】WS1-XG-013-2016

【批准文号】(1)国药准字H20051845  2)国药准字H20051846

药品上市许可持有人开封康诺药业有限公司

注册地址:开封市金明大道南段66号

【生产企业】

      企业名称:开封康诺药业有限公司

生产地址:开封市金明大道南段66号

邮政编码:475004

电话号码:0371-23236566

传真号码:0371-23236566

网  址:www.kfkn.com.cn

 

 

 

 

 


Copyright © 2018 开封康诺药业有限公司.豫ICP备20006211号 (豫)-非经营性-2025-0002 豫公网安备41020402000112号. All Rights Reserved. Designed by Wanhu