新闻资讯News Center
您的位置:首页 - 新闻资讯 - 安全公告

关于注射用奥美拉唑钠修订说明书的公告

发布时间:2022-09-23 09:35阅读次数: 分享到:

依据国家药监局关于修订质子泵抑制剂类药品说明书的公告(2022年第18),我公司对注射用奥美拉唑钠说明书【不良反应】、【注意事项】及【药物相互作用】项进行修订,请经营单位、使用单位知悉,更新后说明书全文如下。

                                                                                                                                                      

核准日期20070601                             

修订日期:20110410 

20111226 

20131201

20151201

20201230

20220523                        

注射用奥美拉唑钠说明书
请仔细阅读说明书并在医师指导下使用

【药品名称】
通用名称:注射用奥美拉唑钠
英文名称:Omeprazole Sodium for Injection
汉语拼音:Zhusheyong Aomeilazuona
【成份】
本品主要成份为:奥美拉唑钠。

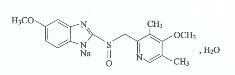
化学名称:5-甲氧基-2-[[(4-甲氧基-35-二甲基-2-吡啶基)-甲基]酰基]-1H-苯并咪唑钠一水合物。
化学结构式:

分子式:C17H18N3NaO3S·H2O
  分子量:385.41

专用溶剂成份:氯化钠、注射用水。
【性状】
本品为白色或类白色疏松块状物或粉末。专用溶剂为无色液体
【适应症】
作为当口服疗法不适用时下列病症的替代疗法:十二指肠溃疡、胃溃疡、反流性食管
炎及Zollinger-Ellison综合征。
【规格】42.6mg相当于奥美拉唑40mg
【用法用量】
    静脉推注。一次40毫克(一瓶冻干粉),每日12次。临用前将10毫升专用溶剂注入冻干粉小瓶内,禁止用其它溶剂溶解。本品溶解后必须在2小时内使用,推注时间为2.5 4分钟。

静脉滴注。一次一支,每日12次。临用前将10毫升专用溶剂注入冻干粉小瓶内,禁止用其它溶剂溶解。溶解后及时加入0.9%氯化钠注射液100ml5%葡萄糖注射液100ml中稀释后供静脉滴注,经稀释后的奥美拉唑钠溶液静脉滴注时间不得少于20分钟。本品溶解和稀释后必须在4小时内用完。

【不良反应】
奥美拉唑的耐受性良好,不良反应多为轻度和可逆。下列不良反应为临床试验或常规使用中所报告,但在许多病例中与奥美拉唑治疗本身的因果关系尚未确定。
下述不良反应中:
常见是指发生率≥l100
不常见是指发生率≥l1000,但<1100
罕见是指发生率<11000
常见
中枢和外周神经系统:头痛
消化系统:腹泻、便秘、腹痛、恶心/呕吐和气胀
不常见
中枢和外周神经系统:头晕、感觉异样、嗜睡、失眠和眩晕
肝脏:肝酶升高
皮肤:皮疹和(或)瘙痒、荨麻疹
其他:不适
罕见
中枢和外周神经系统:可逆性精神错乱、激动、攻击性行为、抑郁和幻觉,多见于重症患者
内分泌系统:男子乳房女性化
消化系统:口干、口炎和胃肠道念珠菌感染,艰难梭菌相关性腹泻。
血液系统:白细胞减少、血小板减少、粒细胞缺乏症和各类血细胞减少
肝脏:脑病(见于先前有严重肝病患者),肝炎或黄疸性肝炎、肝脏衰竭
肌肉与骨骼:关节痛、肌力减弱和肌痛髋部、腕部或脊柱骨折
皮肤:光敏性、多形红斑、Stevens—Johnson综合征、毒性表皮坏死(TEN)、脱发
其他:过敏反应,例如血管水肿、发热、支气管痉挛、间质性肾炎和过敏性休克。出汗增多、外围水肿、视力模糊、味觉失常和低钠血症。低镁血症(低镁血症也可能与低钾血症有关;严重低镁血症可能导致低钙血症)
曾有文献报道,个例重症患者接受高剂量奥美拉唑静脉注射后出现不可逆性视觉损伤。

【禁忌】
对本品过敏者禁用。
【注意事项】
1.本品抑制胃酸分泌的作用强,时间长,故应用本品时不宜同时再服用其它抗酸剂或
抑酸剂。为防止抑酸过度,在一般消化性溃疡等疾病,不建议大剂量长期应用(Zollinger-Ellison综合征患者除外)。
2.因本品能显著升高胃内pH值,可能影响许多药物的吸收。
3.肾功能受损者不须调整剂量;肝功能受损者慎用,根据需要酌情减量。
4.治疗胃溃疡时应排除胃癌后才能使用本品,以免延误诊断和治疗。

5.奥美拉唑是一种CYP2C19抑制剂。当开始或者停止使用奥美拉唑治疗时,需要考虑到奥美拉唑与通过CYP2C19进行代谢的药物间存在的潜在相互作用。在氯吡格雷和奥美拉唑间已经观察到相互作用(见【药物相互作用】,这一相互作用的临床相关性尚不明确。出于预防考虑,不建议奥美拉唑和氯吡格雷合并使用。

6.使用质子泵抑制剂进行治疗时可能会导致胃肠道感染风险轻微升高,如沙门氏菌和弯曲杆菌感染,在住院患者中,也可能是艰难梭菌感染。

7.接受质子泵抑制剂(PPI)如奥美拉唑的患者有重度低镁血症的报道,这些病人至少接受3个月以上的治疗,其中大多为治疗1年的患者。可能会发生低镁血症的严重临床表现,诸如衰竭、强直、谵妄、惊厥、头晕和室性心律失常,但开始时往往不明显,容易被忽略。对于大多数患者,在补镁治疗和停用PPI后,低镁血症改善。

8.对于需要接受长期治疗的患者、或者是使用PPI治疗的同时还要接受地高辛或可能会导致低镁血症药物(如利尿药)治疗的患者,医疗专业人员需要考虑在给予PPI治疗之前和治疗期间定期监测患者的血镁浓度。

9.质子泵抑制剂,特别是在使用高剂量和使用时间>1年的情况下,可能会增加髋、腕和脊柱骨折的风险,主要是发生在老年人或存在其他已知风险因素的患者中。观察研究提示,质子泵抑制剂可能会使骨折风险总体增加1040%,其中一部分也可能是由于其他风险因素所致。存在骨质疏松风险的患者应按照当前的临床指南接受治疗,且服用适量的维生素D和钙。
【孕妇哺乳期妇女用药】
尽管动物实验未发现本品对妊娠期和哺乳期有不良作用或对胎儿有毒性或致畸作,但建议妊娠期和哺乳期妇女尽可能不用。
【儿童用药】
目前尚无儿童使用本品的经验。
【老年用药】
老年患者无需调整剂量。
【药物相互作用】
因为本品可使胃内酸度下降,有些药物的吸收可能会有所改变。因此在用奥美拉唑或其它酸抑制剂或抗酸剂治疗时,酮康唑和伊曲康唑的吸收会下降。
由于奥美拉唑在肝脏中通过细胞色素F4502C19(CYP2C19)代谢,会延长其它酶解物如地西泮、华法林(R—华法林)和苯妥英的清除。本品与华法林和苯妥英治疗时应给予监测,必要时应予减低华法林或苯妥英之剂量。持续使用苯妥英治疗的患者同时每天一次给予本品20mg,苯妥英的血药浓度并不受影响。同样,持续使用华法林治疗的病人同时每天一次给予本品20mg,并不改变凝血时间。
当奥美拉唑与克拉霉素合用时,它们的血药浓度会上升。但与甲硝唑或阿莫西林合用时,无相互作用。这些抗生素与奥美拉唑合用可根除幽门螺杆菌。

氯吡格雷:健康受试者中的研究结果显示,氯吡格雷(300mg负荷剂量/75mg日维持剂量)和奥美拉唑(80mg口服日剂量)之间的药代动力学(PK/药效学(PD)相互作用,导致氯吡格雷活性代谢的暴露量平均下降46%,并导致血小板聚集的最大抑制作用(ADP诱导)平均下降16%。在观察性和临床研究中,就重大心血管事件而言,这种PK/PD相互作用的临床意义已有不一致数据的报道。为了预防起见,不得联合使用奥美拉唑和氯吡格雷(见【注意事项】)。
【药物过量】
临床试验中,本品静脉给药一天累积剂量达270mg和三天达650mg,并出现剂量相关性不良反应。
【药理毒理】
奥美拉唑是一对活性旋光对映体的消旋混合物,籍由高目标性的作用机制来降低胃酸的分泌,是胃壁细胞中酸泵的特殊抑制剂。本品作用迅速,每天一次的剂量能够可逆性的抑制胃酸的分泌。
奥美拉唑是一种弱碱性物质,在胃壁细胞内小管这一高酸性环境中被浓缩转化为活性物质,抑制H+K+ATP(质子泵)。这种对胃酸形成最后步骤的抑制作用呈剂量相关性,并高度抑制基础胃酸分泌和刺激性胃酸分泌,但与刺激物无关。
人体静脉给予奥美拉唑,呈剂量相关性的抑制胃酸分泌,为了迅速达到与多次口服20毫克相同的降低胃内酸度的作用,建议首次静脉内给予40毫克奥美拉唑。静注40毫克奥美拉唑迅速降低胃内酸度,24小时内平均下降90%。奥美拉唑的抑制胃酸分泌作用与药时曲线下面积(AUC)相关,而与给药时的血药浓度无关。
幽门螺杆菌与酸消化性疾病有关,包括十二指肠溃疡和胃溃疡,分别由95%和70%的
十二指肠溃疡和胃溃疡与幽门螺杆菌感染有关。幽门螺杆菌是导致胃炎的主要因素。幽门螺杆菌和胃酸一起是导致消化性溃疡的主要因素。
奥美拉唑与抗生素合用可根除幽门螺杆菌,这与迅速缓解症状、胃粘膜修复率高及消化性溃疡病的长期缓解相关,并因此减少了胃肠道出血等并发症,同时也减少了长期用抗泌酸药治疗的需要。
任何方法,包括质子泵抑制剂所致胃酸减少,都增加胃肠道内正常菌群的数量,用抑酸药物治疗,则沙门菌和弯曲杆菌属感染胃肠道的危险性可能略有增加。
在大鼠长期给予奥美拉唑的研究中,观察到胃ECL细胞增大和良性肿瘤,这是持续性高胃泌素血症因胃酸抑制的结果。在用H2受体拮抗剂、质子泵抑制剂治疗后和部分底部切除术后也有类似的发现。显然这些变化并非上述药物的直接作用。
【药代动力学】
分布
健康人体分布容积约为0.3Lkg,肾功能不全病人也有相近的分布容积。老人或肝功能不全病人的分布容积稍低,血浆蛋白结合率约为95%。
代谢和排泄
静脉内给奥美拉唑,药时曲线的平均终末相半衰期约为40分钟,总血浆清除率为
0.30.6Lmin。治疗期间半衰期未变化。
奥美拉唑主要在肝脏中经细胞色素P450(CYP)酶系完全代谢。其中主要依赖特异的同功型CYP2C19(S-美芬妥英羟化酶),该酶的遗传表达具有多态性,奥美拉唑经CYP2C19催化生成羟基奥美拉唑,这是血浆中的主要代谢产物。鉴于此,奥美拉唑与CYP2C19的其他底物之间可能会由于竞争性抑制而产生代谢上的药物药物相互作用。
奥美拉唑代谢物对胃酸的分泌没有作用。约80%的静脉内给药剂量以代谢物形式经尿液排泄,其余主要由胆汁分泌,经粪便排泄。
肾衰病人奥美拉唑的清除未有变化,肝功能损害病人的清除半衰期增加,但每日一次口服剂量未见奥美拉唑积累。
【贮藏】密闭凉暗处(避光并不超过20℃)保存。
【包装】低硼硅玻璃管制注射剂瓶和低硼硅玻璃安瓿,氯化丁基胶塞,每盒装有一瓶冻干粉和一支专用溶剂。
【有效期】24个月
【执行标准】《中国药典》2020年版二部

【批准文号】国药准字H20065825

药品上市许可持有人开封康诺药业有限公司

注册地址:开封市金明大道南段66
【生产企业】
企业名称:开封康诺药业有限公司
生产地址:开封市金明大道南段66
邮政编码:475004
电话号码:0371-23236566

传真号码:0371-23236566

    址:www.kfkn.com.cn

 

 

Copyright © 2018 开封康诺药业有限公司.豫ICP备20006211号 (豫)-非经营性-2025-0002 豫公网安备41020402000112号. All Rights Reserved. Designed by Wanhu